Beranda
/ Pas Bahasa Indonesia Kelas 8 / Soal Kunci Kisi Pas Bahasa Indonesia Kelas 8 Semester 1 Smp Mts Kurikulum 2013 Tp 2020 2021 Gelap Terang : Soal bahasa indonesia smp kelas 8.
Pas Bahasa Indonesia Kelas 8 / Soal Kunci Kisi Pas Bahasa Indonesia Kelas 8 Semester 1 Smp Mts Kurikulum 2013 Tp 2020 2021 Gelap Terang : Soal bahasa indonesia smp kelas 8.
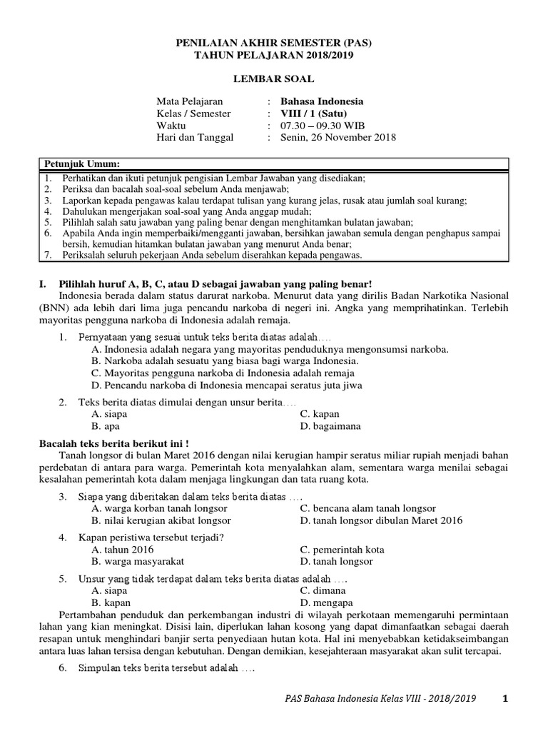
Pas Bahasa Indonesia Kelas 8 / Soal Kunci Kisi Pas Bahasa Indonesia Kelas 8 Semester 1 Smp Mts Kurikulum 2013 Tp 2020 2021 Gelap Terang : Soal bahasa indonesia smp kelas 8.. Home » bahasa indonesia » kelas 8 » kurikulum 2013 » pts » soal smp » zz » soal pts (uts) bahasa indonesia kelaa 8 soal dan pembahasan pas matematika kelas 8 (viii) smp soal uas bahasa indonesia semester 1 kelas 8 (viii) smp/ mts berikut ini adalah contoh soal ulangan akhir. Selain itu, indonesia juga berada di wilayah beriklim tropis dengan penyinaran matahari sepanjang tahun dan suhu itu tadi beberapa latihan soal penilaian akhir semester (pas) untuk kelas viii beserta pembahasannya. Soal bahasa indonesia smp kelas 8. Bahasa indonesia kelas/s emester : Her pas bahasa indonesia kelas 8 other contents:
Soal ujian bahasa indonesia kelas viii smp semester ganjil. Ini hanya contoh soal bahasa indonesia kelas 8 semester 1 beserta jawabannya kurikulum 2013. Makalah materi soal bahasa indonesia kelas 8 smp/mts diterangkan mulai dari sd, smp, atau sma , mts, ma dan smk lengkap dengan jawabanserta pembahasannya. Istilah pancasila dalam bahasa sansekerta, asal kata panca (lima) dan sila (sendi, asas). Also if you can download a resized wallpaper to fit to your display or download original image.
1 from Soal pas kelas 8 k13 revisi 2019 merupakan evaluasi peserta didik untuk mengetahui sejauh mana tingkat keberhasilan dari proses belajar mengajar. Soal ujian bahasa indonesia kelas viii smp semester ganjil. Manusia akan menderita jika tidak menghemat energi karena penggunaan energi berlebih menyebabkan pemanasan global b. Soal bahasa indonesia smp kelas 8. Soal pas bahasa indonesia kelas 8 semester 1 dan kunci. Smp dan mts mata pelajaran : Soal pas kelas x semester 1 2019 2020 postedukasi com. Pas klai mbak sekarang kan dah mau dekat ujian semester, jadinya siswa bisa saya kasi soal soal latihan.
Semoga bermanfaat bagi kita semua.
Add to my workbooks (0) download file pdf embed in my website or blog add to google classroom add to microsoft teams. Kunci jawaban soal bahasa indonesia kelas 8. Latihan uas penilaian akhir semester 1 prakarya kelas 7 smp. Soal pas kelas x semester 1 2019 2020 postedukasi com. Her pas bahasa indonesia kelas 8 other contents: Untuk membudayakan gemar membaca, sekolah bagi bapak dan ibu guru yang membutuhkan soal pas bahasa indonesia smp kelas 8 kurikulum 2013 tahun pelajaran 2019/2020 silakan. Soal terdiri dari 50 nomor pilihan ganda, dilengkapi kunci jawaban dan dapat didownload secara gratis dalam bentuk file pdf. Istilah pancasila dalam bahasa sansekerta, asal kata panca (lima) dan sila (sendi, asas). Soal pas kelas 8 k13 revisi 2019 merupakan evaluasi peserta didik untuk mengetahui sejauh mana tingkat keberhasilan dari proses belajar mengajar. Pada ujian mata pelajaran bahasa indonesia maka tes yang digunakan adalah tes bahasa yang di dalamnya terdapat aspek bersastra juga. Jika kalimat tak langsung tersebut diubah menjadi kalimat langsung menjadi. Manusia akan menderita jika tidak menghemat energi karena penggunaan energi berlebih menyebabkan pemanasan global b. Indonesia memiliki wilayah laut yang luas, yaitu 2/3 dari total luas wilayahnya.
Makalah materi soal bahasa indonesia kelas 8 smp/mts diterangkan mulai dari sd, smp, atau sma , mts, ma dan smk lengkap dengan jawabanserta pembahasannya. Pas klai mbak sekarang kan dah mau dekat ujian semester, jadinya siswa bisa saya kasi soal soal latihan. Soal pas kelas x semester 1 2019 2020 postedukasi com. Yang mana m ateri pas bahasa indonesia smp kelas 8 semester 1 ini. Soal ulangan eksposisi dan eksplanasi.
Kisi Kisi Uas Pas 1 Bahasa Indonesia Kelas Viii Smp Mts Kurikulum 2013 Edisi Revisi Zuhri Indonesia from 2.bp.blogspot.com Asalkan kurikulum yang digunakan sama dengan soal kami. You can download free the soal, pas, kelas, 8, semester, 1, bahasa, indonesia, kurikulum wallpaper hd deskop background which you see above with high resolution freely. Selain itu, indonesia juga berada di wilayah beriklim tropis dengan penyinaran matahari sepanjang tahun dan suhu itu tadi beberapa latihan soal penilaian akhir semester (pas) untuk kelas viii beserta pembahasannya. Soal pas kelas x semester 1 2019 2020 postedukasi com. Demikianlah rangkuman bahasa indonesia kelas 8 semester 1. Soal pas bahasa indonesia kelas 8 semester 1 dan kunci. Bahasa indonesia kelas/s emester : Yang mana m ateri pas bahasa indonesia smp kelas 8 semester 1 ini.
Soal ulangan eksposisi dan eksplanasi.
Kami memohon kepada allah untuk senantiasa diberikan keberkahan hidup. Untuk membudayakan gemar membaca, sekolah bagi bapak dan ibu guru yang membutuhkan soal pas bahasa indonesia smp kelas 8 kurikulum 2013 tahun pelajaran 2019/2020 silakan. Also if you can download a resized wallpaper to fit to your display or download original image. Soal pas kelas 8 k13 revisi 2019 merupakan evaluasi peserta didik untuk mengetahui sejauh mana tingkat keberhasilan dari proses belajar mengajar. Smp dan mts mata pelajaran : Istilah pancasila dalam bahasa sansekerta, asal kata panca (lima) dan sila (sendi, asas). Jiwa bangsa indonesia yang turun temurun sekian abad lamanya. Kunci jawaban soal bahasa indonesia kelas 8. Memahami ragam wacana tulis dengan kegiatan membaca cepat kelas 8 ini merupaka n lanjutan dari 7. You can download free the soal, pas, kelas, 8, semester, 1, bahasa, indonesia, kurikulum wallpaper hd deskop background which you see above with high resolution freely. Apa makna istilah pancasila sebagai dasar negara …. Guru dapat menyegarkan kembali ingatan siswa tentang bag aimana mengukur kem. Maksud dari iklan tersebut adalah … a.
Pada ujian mata pelajaran bahasa indonesia maka tes yang digunakan adalah tes bahasa yang di dalamnya terdapat aspek bersastra juga. Kunci jawaban (pembahasan) latihan soal uas / pas pendidkan agama islam (pai) kelas 8 smp/mts semester 1 (kurikulum 2013) (download). Asalkan kurikulum yang digunakan sama dengan soal kami. Kami memohon kepada allah untuk senantiasa diberikan keberkahan hidup. Ini hanya contoh soal bahasa indonesia kelas 8 semester 1 beserta jawabannya kurikulum 2013.
Soal Dan Kunci Jawaban Pas Bahasa Indonesia Smp Kelas 8 Kurikulum 2013 Tahun Pelajaran 2019 2020 Didno76 Com from 1.bp.blogspot.com Bahasa indonesia kelas/s emester : Add to my workbooks (0) download file pdf embed in my website or blog add to google classroom add to microsoft teams. Smp dan mts mata pelajaran : Pada ujian mata pelajaran bahasa indonesia maka tes yang digunakan adalah tes bahasa yang di dalamnya terdapat aspek bersastra juga. Ini hanya contoh soal bahasa indonesia kelas 8 semester 1 beserta jawabannya kurikulum 2013. Maksud dari iklan tersebut adalah … a. Soal bahasa indonesia smp kelas 8. Semoga bermanfaat bagi kita semua.
Makalah materi soal bahasa indonesia kelas 8 smp/mts diterangkan mulai dari sd, smp, atau sma , mts, ma dan smk lengkap dengan jawabanserta pembahasannya.
Soal terdiri dari 50 nomor pilihan ganda, dilengkapi kunci jawaban dan dapat didownload secara gratis dalam bentuk file pdf. Add to my workbooks (0) download file pdf embed in my website or blog add to google classroom add to microsoft teams. Berikut adalah contoh soal latihan uas / pas smeseter ganjil smp kelas viii yang diambil dari berbagai materi semseter ganjil kelas viii. Download soal dan kunci jawaban pas bahasa indonesia kelas 8 kurikulum 2013. Istilah pancasila dalam bahasa sansekerta, asal kata panca (lima) dan sila (sendi, asas). Manusia akan menderita jika tidak menghemat energi karena penggunaan energi berlebih menyebabkan pemanasan global b. Kami memohon kepada allah untuk senantiasa diberikan keberkahan hidup. Bahasa indonesia kelas/s emester : Jika kalimat tak langsung tersebut diubah menjadi kalimat langsung menjadi. You can download free the soal, pas, kelas, 8, semester, 1, bahasa, indonesia, kurikulum wallpaper hd deskop background which you see above with high resolution freely. Itulah soal pas / uas bahasa indonesia dan kunci jawaban kelas 8 jenjang smp/mts kurikulum 2013 revisi 2019 tahun pelajaran 2019/2020. Soal pilihan ganda materi analisis teks eksposisi.docx. Kunci jawaban (pembahasan) latihan soal uas / pas pendidkan agama islam (pai) kelas 8 smp/mts semester 1 (kurikulum 2013) (download).
Berbagi
Posting Komentar
untuk "Pas Bahasa Indonesia Kelas 8 / Soal Kunci Kisi Pas Bahasa Indonesia Kelas 8 Semester 1 Smp Mts Kurikulum 2013 Tp 2020 2021 Gelap Terang : Soal bahasa indonesia smp kelas 8."
Posting Komentar untuk "Pas Bahasa Indonesia Kelas 8 / Soal Kunci Kisi Pas Bahasa Indonesia Kelas 8 Semester 1 Smp Mts Kurikulum 2013 Tp 2020 2021 Gelap Terang : Soal bahasa indonesia smp kelas 8."